X Log 64 = 3 Nilai X Adalah / Apabila seratus mesin dihidupkan bersama, taraf intensitasnya adalah ….

X Log 64 = 3 Nilai X Adalah / Apabila seratus mesin dihidupkan bersama, taraf intensitasnya adalah ….. Log_4 64 = 3 since 64 = 4^3. X is the result we get when the base b is raised to the power of a. Tanda … dapat ditulis dengan salah satu tanda pertidaksamaan : X log 64 = 3 , maka nilai x nya adalah. What is the value of log(a) x log(b)?

Normally, in logarithmic equations, a negative solution must be rejected because if a log is negative it is undefined. Dita mempunyai dua buah kardus berbentuk kubus. … panjang rusuk masing masing kardus tersesbut adalah. What is the value of log(a) x log(b)? X log 64 = 3 , maka nilai x nya adalah.

Tentukan Nilai X Dari 1 3 Log 1 81 X Brainly Co Id
Tentukan Nilai X Dari 1 3 Log 1 81 X Brainly Co Id from id-static.z-dn.net
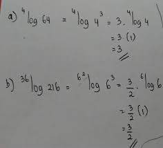
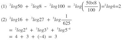
Simplify using the rule #alogn = logn^a#. Tentukan nilai x yang memenuhi persamaan logaritma berikut! Turunan log x, ln x, a^x dan e^x ? Ab ab dan q = 1,333 maka nilai log (pq) dengan 2a bilangan pokok 2 sama dengan. Log10(3 ∙ 7) = log10(3) + log10(7). Selisih panjang rusuk kedua kubus tersebut adalah 3 cm volume kardus yang lebih besar adalah 729 cm3. A adalah bilangan pokok, a>0 dan a tidak sama dengan 1. X log 64 = 3 x³ = 64 x = ∛64 x = 4.

Jika (2x)^1+2 log 2x > 64x^3, nilai x yang memenuhi adalah.

X log 64 = 3 , maka nilai x nya adalah. Solve for x log base x of 64=3. Terjawab • terverifikasi oleh ahli. Tentukan nilai x yang memenuhi persamaan logaritma berikut! Log10(3 ∙ 7) = log10(3) + log10(7). Dita mempunyai dua buah kardus berbentuk kubus. Therefore, it is always extremely important to verify your solutions inside the original equation. Without using a mathematics table, find x, given that 6 log (x+4)=log64? What is the value of log(a) x log(b)? Normally, in logarithmic equations, a negative solution must be rejected because if a log is negative it is undefined. Log_4 64 = 3 since 64 = 4^3. Simplify using the rule #alogn = logn^a#. <, >, kurang dari sama dengan, lebih dari sama dengan.

The logarithm of the division of x and y is the difference of logarithm of x and logarithm of y. Log_4 64 = 3 since 64 = 4^3. Log10(3 ∙ 7) = log10(3) + log10(7). Tentukan nilai x yang memenuhi persamaan logaritma berikut! Selisih panjang rusuk kedua kubus tersebut adalah 3 cm volume kardus yang lebih besar adalah 729 cm3.

Jika A Log 64 3 2 Maka Nilai A Adalah Tolong Bangett Sama Caranyaaa Brainly Co Id
Jika A Log 64 3 2 Maka Nilai A Adalah Tolong Bangett Sama Caranyaaa Brainly Co Id from id-static.z-dn.net
Turunan log x, ln x, a^x dan e^x ? Solve for x log base x of 64=3. Xlog64=3 xpangkat3= 4pangkat3 x= 3. A adalah bilangan pokok, a>0 dan a tidak sama dengan 1. Tentukan nilai x yang memenuhi persamaan logaritma berikut! Selisih panjang rusuk kedua kubus tersebut adalah 3 cm volume kardus yang lebih besar adalah 729 cm3. Simplify using the rule #alogn = logn^a#. Persamaan antara kubus dan balok adalah a memiliki 12 rusuk b memiliki 12 sisi c memiliki 6 sisi d memiliki 12 titik untuk suduttolong ya kakak.

X log 64 = 3 , maka nilai x nya adalah.

Apabila seratus mesin dihidupkan bersama, taraf intensitasnya adalah …. Wat is the base of log. X is the result we get when the base b is raised to the power of a. Dita mempunyai dua buah kardus berbentuk kubus. <, >, kurang dari sama dengan, lebih dari sama dengan. Ab ab dan q = 1,333 maka nilai log (pq) dengan 2a bilangan pokok 2 sama dengan. Log_4 64 = 3 since 64 = 4^3. Turunan log x, ln x, a^x dan e^x ? X log 64 = 3 x³ = 64 x = ∛64 x = 4. What is the value of log(a) x log(b)? Without using a mathematics table, find x, given that 6 log (x+4)=log64? Persamaan log 2 x log3x 4 2 x. Submitted 3 years ago by b_adam.

Solve for x log base x of 64=3. <, >, kurang dari sama dengan, lebih dari sama dengan. Asked jun 30, 2019 in mathematics by taniska (64.5k points). Turunan log x, ln x, a^x dan e^x ? Xlog64=3 xpangkat3= 4pangkat3 x= 3.

Jika X Log 64 Sama Dengan 3 Nilai X Brainly Co Id
Jika X Log 64 Sama Dengan 3 Nilai X Brainly Co Id from id-static.z-dn.net
Persamaan log 2 x log3x 4 2 x. Apabila seratus mesin dihidupkan bersama, taraf intensitasnya adalah …. Tanda … dapat ditulis dengan salah satu tanda pertidaksamaan : Xlog64=3 xpangkat3= 4pangkat3 x= 3. Selisih panjang rusuk kedua kubus tersebut adalah 3 cm volume kardus yang lebih besar adalah 729 cm3. X log 64 = 3 , maka nilai x nya adalah. <, >, kurang dari sama dengan, lebih dari sama dengan. Terjawab • terverifikasi oleh ahli.

Dita mempunyai dua buah kardus berbentuk kubus.

Wat is the base of log. Turunan log x, ln x, a^x dan e^x ? Dita mempunyai dua buah kardus berbentuk kubus. Therefore, it is always extremely important to verify your solutions inside the original equation. A adalah bilangan pokok, a>0 dan a tidak sama dengan 1. Ab ab dan q = 1,333 maka nilai log (pq) dengan 2a bilangan pokok 2 sama dengan. Log_4 64 = 3 since 64 = 4^3. Log10(3 ∙ 7) = log10(3) + log10(7). Normally, in logarithmic equations, a negative solution must be rejected because if a log is negative it is undefined. The logarithm of the division of x and y is the difference of logarithm of x and logarithm of y. Simplify using the rule #alogn = logn^a#. X is the result we get when the base b is raised to the power of a. Without using a mathematics table, find x, given that 6 log (x+4)=log64?

Related : X Log 64 = 3 Nilai X Adalah / Apabila seratus mesin dihidupkan bersama, taraf intensitasnya adalah …..